RPM dan radian per sekon merupakan satuan yang digunakan untuk menyatakan kecepatan benda yang sedang berputar.
Roda contohnya.
Dan sekarang kita akan mencoba mengerjakan beberapa contoh pengubahan dari RPM menjadi radian/sekon.
Ok..
Langkahnya sebagai berikut..
Perhatikan ya!!
Masukkan :
Roda contohnya.
Dan sekarang kita akan mencoba mengerjakan beberapa contoh pengubahan dari RPM menjadi radian/sekon.
Soal :
1. Ubahlah 120 rpm menjadi radian/sekon!
1. Ubahlah 120 rpm menjadi radian/sekon!
Ok..
Langkahnya sebagai berikut..
Perhatikan ya!!
- 120 rpm artinya 120 revolusi per menit atau sering juga disebut putaran per menit
- 120 revolusi per menit ini sama dengan 120 rotasi dibagi dengan 1 menit.
Bentuknya seperti dibawah.
Mengapa dibuat bentuk seperti itu?
Agar kita bisa dengan mudah melakukan pengubahan dan membuat bentuknya lebih enak dilihat dan tidak membingungkan.
Ingat!!
1 revolusi = 2π rad
Masukkan :
- 1 revolusi = 2π rad
- 1 menit = 60 sekon
120 rpm = 4π rad/s
Nah, sudah selesai..
Itulah langkah pengubahan dari rpm ke rad/s atau radian per sekon.
Atau jika mau lebih cepat, tinggal kalikan saja rpm dengan 2π/60 agar menjadi rad/sekon
Soal :
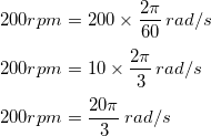
2. Berapakah 200rpm dalam rad/s?
2. Berapakah 200rpm dalam rad/s?
Gunakan saja cara cepatnya..
Diatas sudah disebutkan, jika ingin mengubah "rpm" menjadi "rad/s" bisa dengan mengalikan 2π/60 dan hasilnya langsung bisa dihitung.
Mari lakukan..
- nilai dari rpm, yaitu 200, langsung dikali dengan 2π/60 rad/s
- 200 dan 60 sama-sama dibagi 20, sehingga hasilnya menjadi 10 dan 3
- kalikan 10 dengan 2π = 20π
Dan akhirnya kita mendapatkan nilainya yaitu 20π/3 rad/s.
Kesimpulan
Mengubah bentuk rpm menjadi rad/s bisa diselesaikan dengan membuatnya ke bentuk pecahan. Ini jauh mudah dipahami.
Terus perhatikan perubahan yang terjadi.
Ingat jika 1 putaran = 2π rad
Dan 1 menit = 60 sekon/detik.
Seterusnya, tinggal dibagi saja.
Biarkan hasilnya dalam bentuk "π" ya.
Tidak apa-apa.
Dan yang patut diingat, RPM bukanlah rotasi per menit tetapi revolusi per menit.
Mengapa revolusi?
Karena perhitungan menggunakan titik pada lingkaran, bukan pusatnya. Misalkan suatu titik berada pada keliling lingkaran dan berputar mengelilingi pusatnya secara terus menerus. Ini mirip dengan perputaran bumi mengelilingi matahari dan dikenal dengan revolusi.
Baca juga :





Jadi ingat pelajaran IPA fisika saat SD dulu,
ReplyDeletekenangan manis teringat lagi mas ya?
Deletehehe..
Rumus bermanfaat nih bisa buat nambah wawasan ilmu fisika..😄
ReplyDeletesemoga membantu mas..
Deletesiapa tahu mau ngajarin adik, anak atau saudaranya..
hehe
Maaf sedikit comment rpm itu bukan rotasi per menit tapi revolusi per menit, karena rotasi dengan revolusi sangat berbeda. Terima kasih dan Salam.
ReplyDeleteMaaf sedikit comment rpm itu bukan rotasi per menit tapi revolusi per menit, karena rotasi dengan revolusi sangat berbeda. Terima kasih dan Salam.
ReplyDeletesip...
Deleteterimakasih koreksinya