Ini adalah soal model hidrolik. Contoh yang paling umum adalah hidrolik pengangkat mobil di jasa cuci kendaraan.
Dalam soal, yang diketahui adalah perbandingan diameternya. Perbandingan inilah yang harus diolah sehingga memudahkan perhitungan.
Rumus yang digunakan
Untuk kasus ini, yang digunakan adalah perbandingan tekanan. Tekanan di titik 1 sama dengan tekanan di titik 2.
Titik 1 biasanya digunakan untuk gaya pendorong dan titik 2 adalah beban yang mau diangkat.
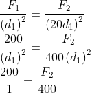
Gambarnya seperti di atas.
Sekarang kita tentukan rumusnya jika diketahui perbandingan diameternya.
Nah...
Itulah rumus yang akan membantu kita dalam memecahkan soal ini.
Contoh soal
Ayo coba soal berikut.
Soal :
1. Pada sebuah hidrolik, perbandingan diameter penampangnya adalah 1 : 20. Jika gaya yang diberikan 200N, maka beban yang bisa diangkat adalah...
1. Pada sebuah hidrolik, perbandingan diameter penampangnya adalah 1 : 20. Jika gaya yang diberikan 200N, maka beban yang bisa diangkat adalah...
Ok...
Kita cek dulu yang diketahui pada soal.
Diketahui :
- d₁ ÷ d₂ = 1 ÷ 20
- Gaya yang diberikan (F₁) = 200 N
Mengubah bentuk perbandingan
Kita ubah dulu bentuk perbandingan yang ada.
Perbandingan dibuat dalam bentuk pecahan agar lebih mudah dikerjakan
Kalikan silang untuk menghilangkan bentuk pecahan.
- 20 dikali dengan d₁
- 1 dikali dengan d₂
Dan diperoleh data di atas, yaitu d₂ = 20d₁
Memasukkan ke dalam rumus
Sekarang kita masukkan datanya ke dalam rumus perbandingan gaya dan diameter.
Ganti d₂ dengan 20d₁
F₁ = 200N
(20d₁)² = 400.d₁²
d₁² yang ada di ruas kiri dan kanan bisa dicoret, sehingga bentuk perbandingan menjadi lebih sederhana.
Untuk menghilangkan bentuk pecahan, kita bisa kalikan silang.
Sehingga diperoleh F₂ = 80.000N
Jadi...
Beban yang bisa diangkat dengan gaya 200 N jika perbandingan diameternya 1 : 20 adalah 80.000N
Semoga mengerti ya...
Pemecahan masalah kuadrat
Pada soal di atas, kita berjumpa dengan permasalahan kuadrat. Dimana ada angka dan variabel yang dikuadratkan.
Yaitu (20d₁)².
Bagi yang masih bingung, berikut caranya.
= (20d₁)²
- 20d₁ artinya 20 dikali dengan d₁
20 × d₁ - Ketika perkalian berada dalam tanda kurung yang sama dan dikuadratkan, maka setiap angka atau variabel juga mendapatkan kuadrat.
= (20 × d₁)²
= 20² × d₁²
= 400× d₁²
= 400d₁²
Jadi seperti itulah pengubahannya. Sehingga kita bisa mencoret d₁² yang ada di ruas kiri dan ruas kanan untuk membuat perhitungan lebih sederhana.
Terus, ketika bertemu dengan bentuk pecahan, perkalian silang sangatlah penting.
Ini membuat bentuk pecahan hilang dan akhirnya dengan mudah menemukan beban yang bisa diangkat.
Baca juga ya :







Post a Comment for "Perbandingan diameter hidrolik 1 : 20 Jika gaya yang diberikan 200N, maka benda yang bisa diangkat adalah..."